• Предмет: Алгебра
  • Автор: velitovskiiowj4a5
  • Вопрос задан 9 лет назад

помогите не могу допетрить пример

Приложения:

Ответы

Ответ дал: σМарияσ
0
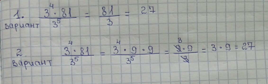
Выбери один из двух вариантов)
Приложения:
Ответ дал: velitovskiiowj4a5
0
спасиб
Ответ дал: σМарияσ
0
не за что))
Вас заинтересует