• Предмет: Математика
  • Автор: FoOlzZ123
  • Вопрос задан 9 лет назад

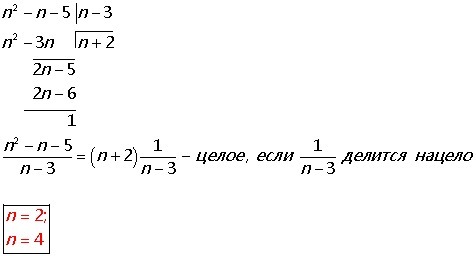
При каких целых n значение выражения n²-n-5/n-3 является целым числом?

Ответы

Ответ дал: Аноним
0
********************************
Приложения:
Ответ дал: Матов
0
(n^2-n-5)/(n-3)=((n-3)^2+5(n-3)+1)/(n-3) = n+2+(1/(n-3)) , откуда n=4 или n=2
Приложения:
Вас заинтересует