• Предмет: Физика
  • Автор: countess17
  • Вопрос задан 9 лет назад

Очень прошу помогите.Очень необходимо
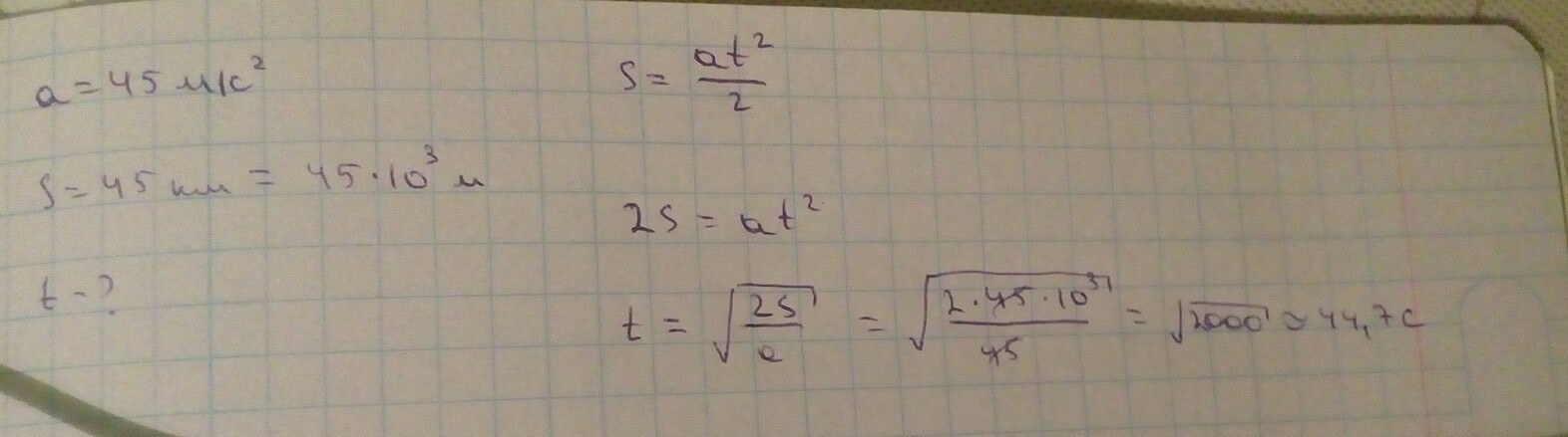
Космическая ракета стартует с космодрома с ускорением 45 м/с2. За какое время она поднимется на 45 км.

Ответы

Ответ дал: andy1244
0
поставь лучший ответ, если не сложно
Приложения:
Вас заинтересует