Ребят, даю 30 б, помогите пожалуйста с алгеброй, кто что сможет, очень надо 11 класс
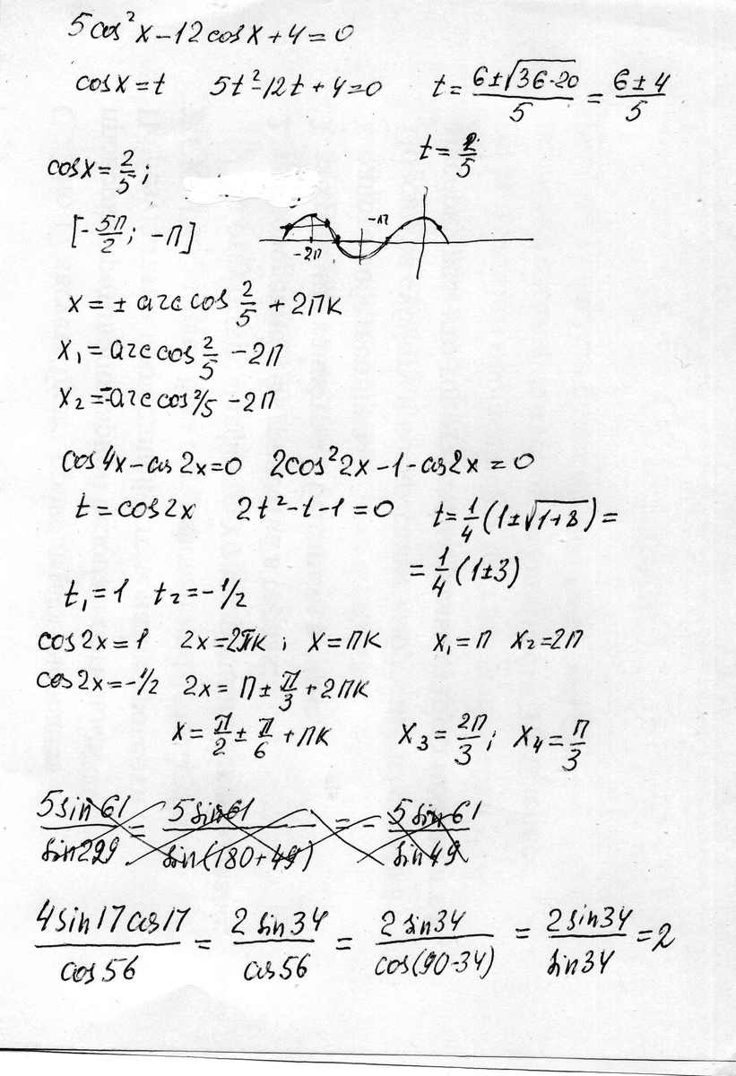
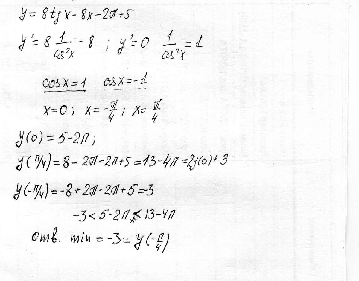
Приложения:


Ответы
Ответ дал:
0
сделал пару заданий..........................................
sin^a=7/16
cos^a=1-7/16=9/16
cosa=3/4
Задача.
находим объемы кислоты в р-р 14*0,3+10*0.18=6
находим получившуюся массу р-ра 14+10=24
находим концентрацию 6:24=1/4
ответ 25%
sin^a=7/16
cos^a=1-7/16=9/16
cosa=3/4
Задача.
находим объемы кислоты в р-р 14*0,3+10*0.18=6
находим получившуюся массу р-ра 14+10=24
находим концентрацию 6:24=1/4
ответ 25%
Приложения:


Ответ дал:
0
Спасибо Большое за помощь!
Вас заинтересует
2 года назад
2 года назад
8 лет назад
8 лет назад
10 лет назад
10 лет назад