• Предмет: Алгебра
  • Автор: Ruslanovna100000
  • Вопрос задан 9 лет назад

Решите пожалуйста.
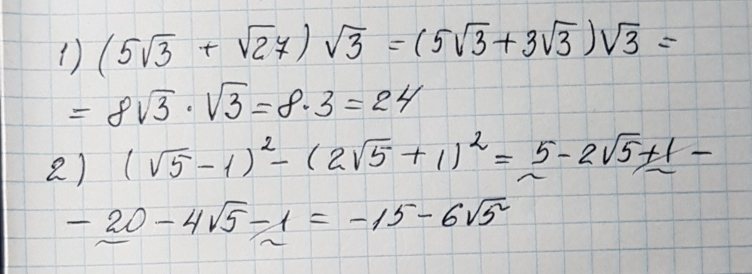
1) (5 крень из 3 + корень из 27)* кокрень из 3=
2) ( корень из 5-1)^2 -( 2 корень из 5+1)^2=

Ответы

Ответ дал: подкожного
0
решение задания смотри на фотографии
Приложения:
Вас заинтересует