• Предмет: Алгебра
  • Автор: way51
  • Вопрос задан 9 лет назад

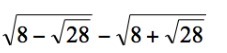
Решите, заранее спасибо))

Приложения:

Ответы

Ответ дал: mmb1
0
√(8 - √28) - √(8 + √28) = √(7 - 2√7 + 1) -  √(7 + 2√7 + 1) = √(√7-1)² - √(√7+1)² = √7 - 1 - √7 - 1 = -2
Вас заинтересует