• Предмет: Алгебра
  • Автор: Соня159357
  • Вопрос задан 9 лет назад

СРОЧНО!!!!!!!!!!!!!!!!!!!!!!!!!!!!!!!!!!!!

Приложения:

Ответы

Ответ дал: dianasklyarova
0
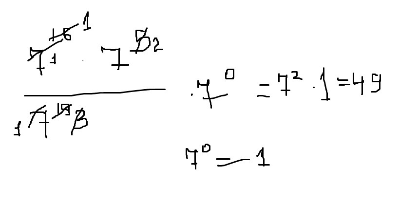
ми скорочуєм нижній степінь числа з верхніми.19-16= 3.Тобто буде знизу сім в третьому степені .Тоді скорочуємо сім в пятому степені з нижньою сімкою в третьому степені .Виходить 7 в другому степені = 49.А 7 в 0 степені це одиниця.Множим 49 на 1 = 49
Приложения:
Вас заинтересует