Ответы
Ответ дал:
0
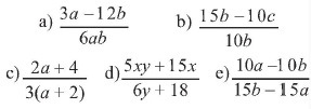
a) 


b)


c)


d)


e)


b)
c)
d)
e)
Вас заинтересует
2 года назад
2 года назад
7 лет назад
9 лет назад
9 лет назад
10 лет назад
10 лет назад