Ответы
Ответ дал:
0
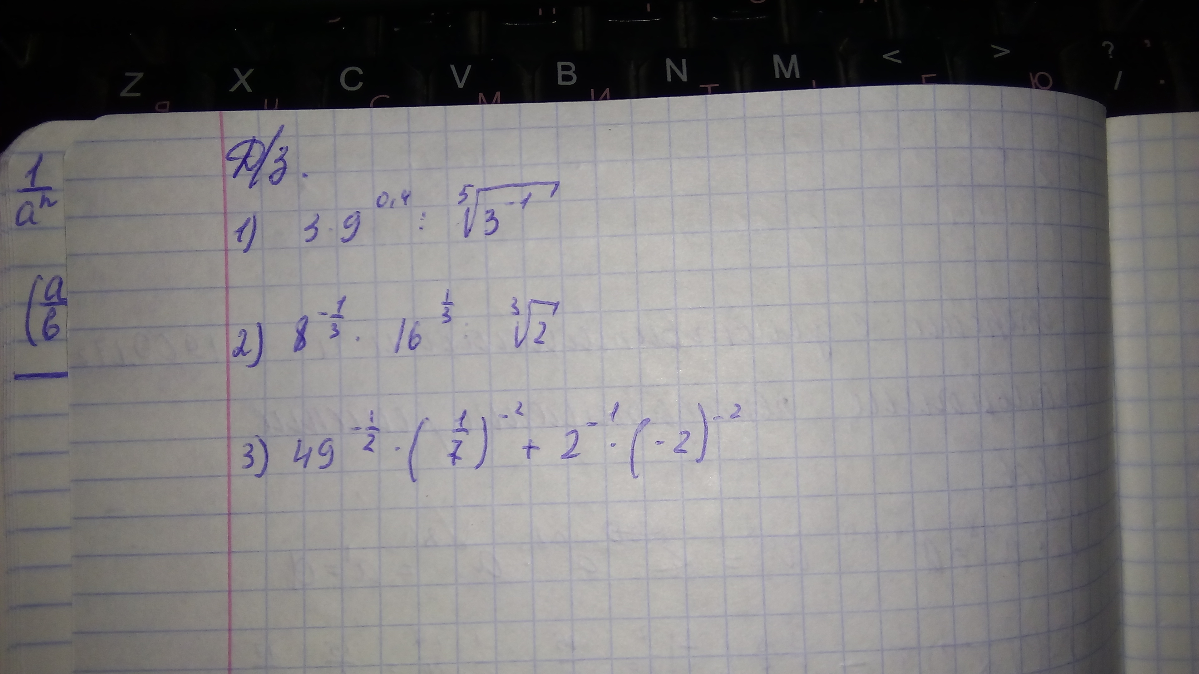
1) ![3*9^ frac{2}{5} : frac{1}{3^ frac{1}{5} } = 3*sqrt[5]{9^2*3} = 3*sqrt[5]{3^5} =9 3*9^ frac{2}{5} : frac{1}{3^ frac{1}{5} } = 3*sqrt[5]{9^2*3} = 3*sqrt[5]{3^5} =9](https://tex.z-dn.net/?f=3%2A9%5E+frac%7B2%7D%7B5%7D+%3A+frac%7B1%7D%7B3%5E+frac%7B1%7D%7B5%7D+%7D+%3D+3%2Asqrt%5B5%5D%7B9%5E2%2A3%7D+%3D+3%2Asqrt%5B5%5D%7B3%5E5%7D+%3D9)
2)![8^{- frac{1}{3} }*16^ frac{1}{3} *2 ^frac{1}{3} = frac{1}{2} *2 sqrt[3]{4} = sqrt[3]{4} 8^{- frac{1}{3} }*16^ frac{1}{3} *2 ^frac{1}{3} = frac{1}{2} *2 sqrt[3]{4} = sqrt[3]{4}](https://tex.z-dn.net/?f=8%5E%7B-+frac%7B1%7D%7B3%7D+%7D%2A16%5E+frac%7B1%7D%7B3%7D+%2A2+%5Efrac%7B1%7D%7B3%7D+%3D+frac%7B1%7D%7B2%7D+%2A2+sqrt%5B3%5D%7B4%7D+%3D+sqrt%5B3%5D%7B4%7D+)
3)
2)
3)
Вас заинтересует
2 года назад
2 года назад
7 лет назад
7 лет назад
10 лет назад
10 лет назад
10 лет назад