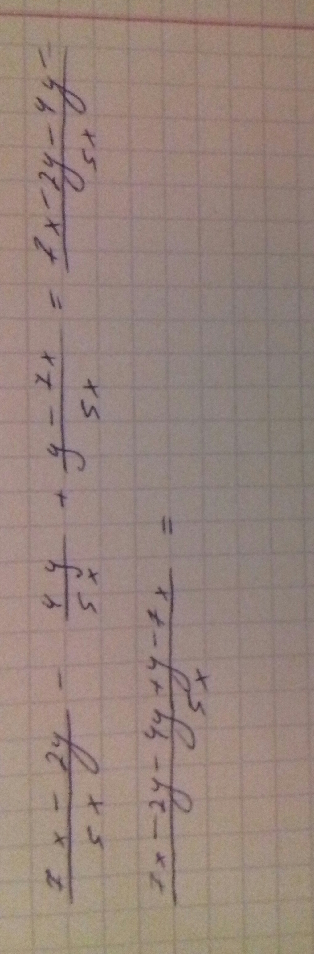
Мне надо решить первую как на 2 картинке только там плюс и минус не совпадают я путаюсь в этом
Приложения:


Ответы
Ответ дал:
0
там сокращается семерка и y посчитать
(и пять в конце сокращается и ответ -у/х
(и пять в конце сокращается и ответ -у/х
Приложения:

Вас заинтересует
2 года назад
2 года назад
6 лет назад
6 лет назад
9 лет назад
9 лет назад
10 лет назад