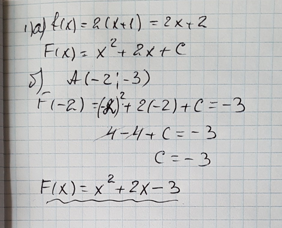
1. Для функции f(x)=2(x+1) a) найдите общий вид первообразных б) Напишите первообразную, график которой проходит через точку А(-2,-3)
Ответы
Ответ дал:
0
решение задания смотри на фотографии
Приложения:

Вас заинтересует
2 года назад
2 года назад
6 лет назад
9 лет назад
10 лет назад