Ответы
Ответ дал:
0
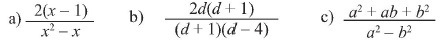
1)x не должно равняться 0 или 1
2)d не должно равняться -1 или 4
3) a I b не должно равняться 1
2)d не должно равняться -1 или 4
3) a I b не должно равняться 1
Вас заинтересует
2 года назад
2 года назад
7 лет назад
7 лет назад
9 лет назад
9 лет назад
10 лет назад
10 лет назад