Решите неравенство,методом интервалов. Реьят помогите пожалуйсто,сколько сможите...очень нужно..зачет. задание во вложениях
Приложения:
Ответы
Ответ дал:
0
1. х=+- 1; х=2; х=-3; ну прямую с интервалами сама начертишь, ответ х принадлежит -3;-1 объединеное 1;2. везде квадратные скобки
Ответ дал:
0
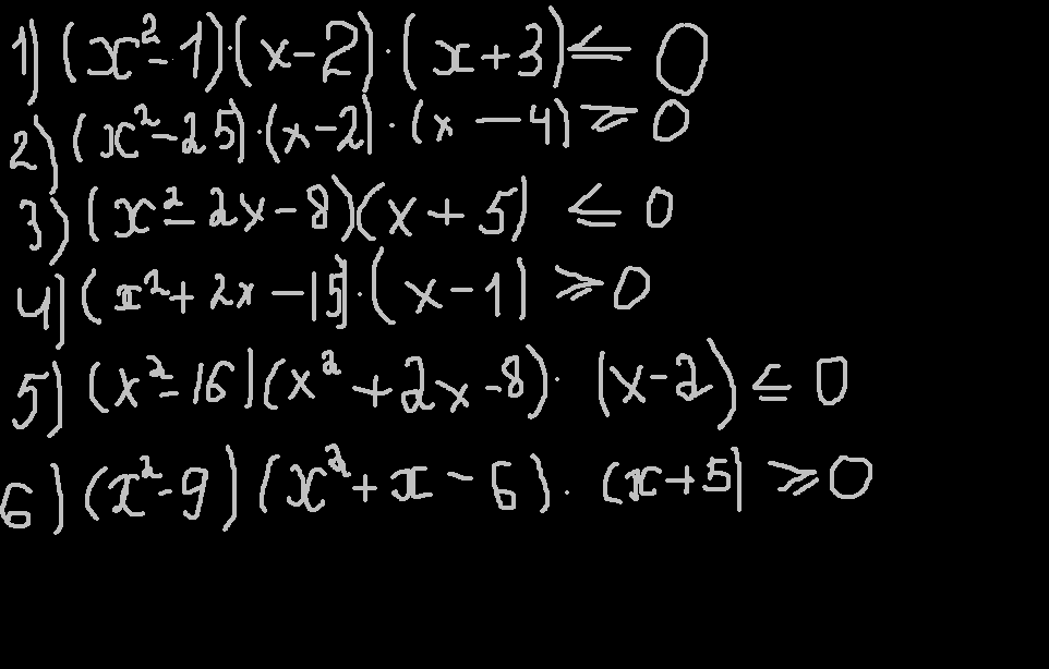
1) (
-1)(x-2)(x+3)
x+3=0,
=-3
x-2=0,
=2
-1=0,
=1,
=-1
Ответ: (-3;-1)(1;2)
2) (
-25)(x-2)(x-4)
0
x-2=0,
x-4=0,
,
=5, 
Ответ: (-∞;-5)(2;4)(5;∞)
3) (x^2-2x-8)(x+5)
0
разложим x^2-2x-8, для этого нужно его решить как квадратное уравнение
x^2-2x-8=0
D=36,
= 4, -2.
Тогда по формуле ax^2+bx+c=a(x-x
)(x-
)
x^2-2x-8 = (x-4)(x+2)
(x-4)(x+2)(x+5)=0
x-4=0,
=4
x+2=0,
=-2
x+5=0,
=-5
Ответ: (-∞;-5][-2;5)
Я надеюсь оставшуюся половину сможешь сама сделать, потому что писать всё это нудно. Вот ответы, чтобы свериться
4) [-5;1][-3;∞)
5) (-∞;-4)(-4;4]
6) [-5;-3)(3;2](3;∞)
x+3=0,
x-2=0,
Ответ: (-3;-1)(1;2)
2) (
x-2=0,
x-4=0,
Ответ: (-∞;-5)(2;4)(5;∞)
3) (x^2-2x-8)(x+5)
разложим x^2-2x-8, для этого нужно его решить как квадратное уравнение
x^2-2x-8=0
D=36,
Тогда по формуле ax^2+bx+c=a(x-x
x^2-2x-8 = (x-4)(x+2)
(x-4)(x+2)(x+5)=0
x-4=0,
x+2=0,
x+5=0,
Ответ: (-∞;-5][-2;5)
Я надеюсь оставшуюся половину сможешь сама сделать, потому что писать всё это нудно. Вот ответы, чтобы свериться
4) [-5;1][-3;∞)
5) (-∞;-4)(-4;4]
6) [-5;-3)(3;2](3;∞)
Приложения:
Вас заинтересует
3 года назад
8 лет назад
8 лет назад
11 лет назад
11 лет назад
11 лет назад