• Предмет: Физика
  • Автор: maminkot1
  • Вопрос задан 9 лет назад

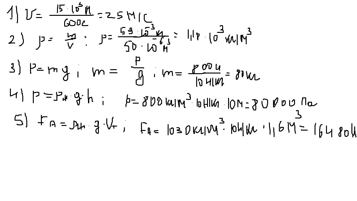
1)За 10 мин равномерного движения поезд проехал путь 15 км. С какой скоростью двигался поезд ?
2)Картофелина массой 59 г имеет объем 50 см 3 . Определите плотность картофеля.
3)Человек весит 800 Н Какова его масса?
4)Определите давление нефти на дно цистерны, если высота столба нефти 10 м, а плотность ее 800 кг/м 3.
5)Определите выталкивающую силу, действующую на камень объемом 1,6 м 3 в морской воде

Ответы

Ответ дал: Amorfus
0
Надеюсь будет понятно 
Приложения:
Вас заинтересует