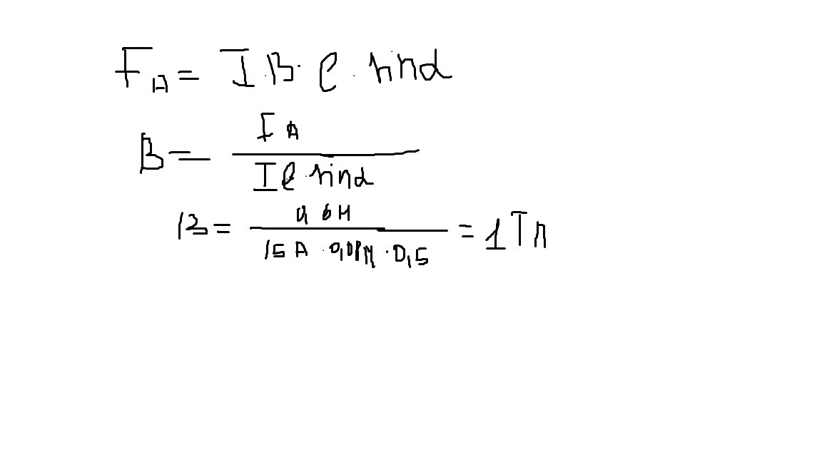
Определить значение магнитной индукции поля если на проводнике длиной 8 см с током 15 Ампер действует в магнитном поле сила 0,6 Ньютон угол 30 градусов.
Ответы
Ответ дал:
0
Воспользуемся формулой для расчета силы Ампера действующей на проводник с током в магнитном поле
Приложения:

Вас заинтересует
2 года назад
2 года назад
6 лет назад
6 лет назад
9 лет назад
10 лет назад