Ответы
Ответ дал:
0
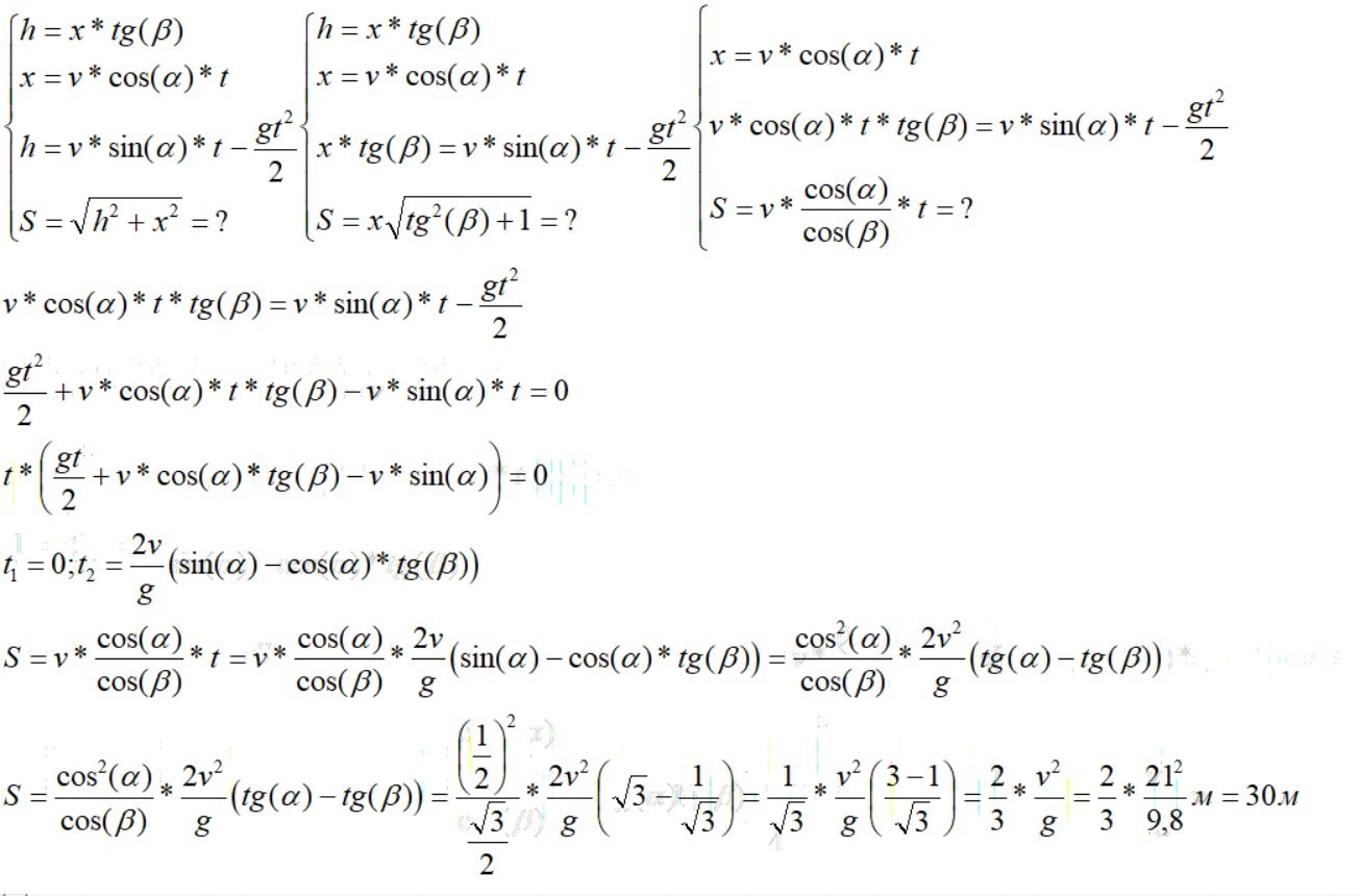
угол альфа - между горизонтом и вектором начальной скорости и равен 60 градусов
угол бета - между горизонтом и наклонной плоскостью
смотри решение во вложении
угол бета - между горизонтом и наклонной плоскостью
смотри решение во вложении
Приложения:
Ответ дал:
0
Большое спасибо вы такой умный
Вас заинтересует
2 года назад
2 года назад
9 лет назад
9 лет назад
10 лет назад
10 лет назад