• Предмет: Математика
  • Автор: asar231
  • Вопрос задан 9 лет назад

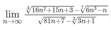
Пожалуйста помогите вычислить предел последовательности, заколебался уже...

ЗАРАНЕЕ СПАСИБО!!!

Приложения:

Ответа на этот вопрос пока нет. Попробуйте найти его через форму поиска.

Вас заинтересует