Ответы
Ответ дал:
0
..................................
Приложения:
Ответ дал:
0
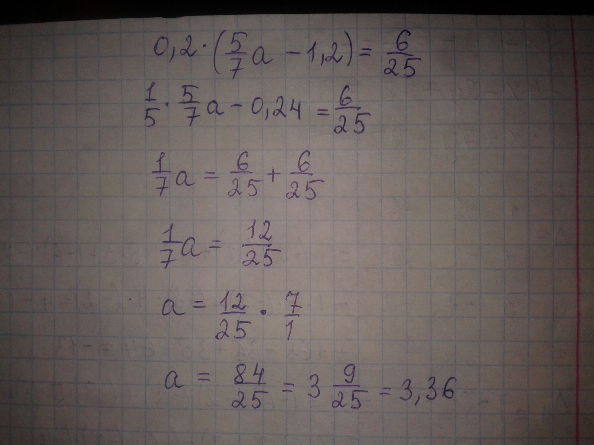
1)6/25 :0,2=6/25: 1/5=6/25 x5/1 = 1,2
2)5/7a - 1,2 = 1,2
3)5/7a=1,2+1,2
4)5/7a=2,4
5)a=2,4:5/7
6)a=14/5x7/5
7)a=3,36
2)5/7a - 1,2 = 1,2
3)5/7a=1,2+1,2
4)5/7a=2,4
5)a=2,4:5/7
6)a=14/5x7/5
7)a=3,36
Приложения:
Вас заинтересует
2 года назад
7 лет назад
9 лет назад
9 лет назад
10 лет назад