ПОМОГИТЕ ПОЖАЛУЙСТА!!!
1. Найдите значение выражения
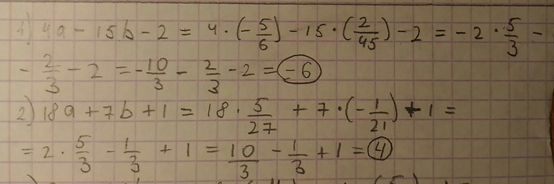
4a-15b-2 при a=-5/6,b=2/45
18a+7b+1 при 5/27,b=-1/21
Очень срочно!!! Заранее спасибо))))
Ответы
Ответ дал:
0
Ответ во вложении. Удачи в учебе!
Приложения:

Ответ дал:
0
большое спасибо)))
Вас заинтересует
6 лет назад
6 лет назад
9 лет назад
10 лет назад
10 лет назад