• Предмет: Алгебра
  • Автор: Kamyshlov052
  • Вопрос задан 9 лет назад

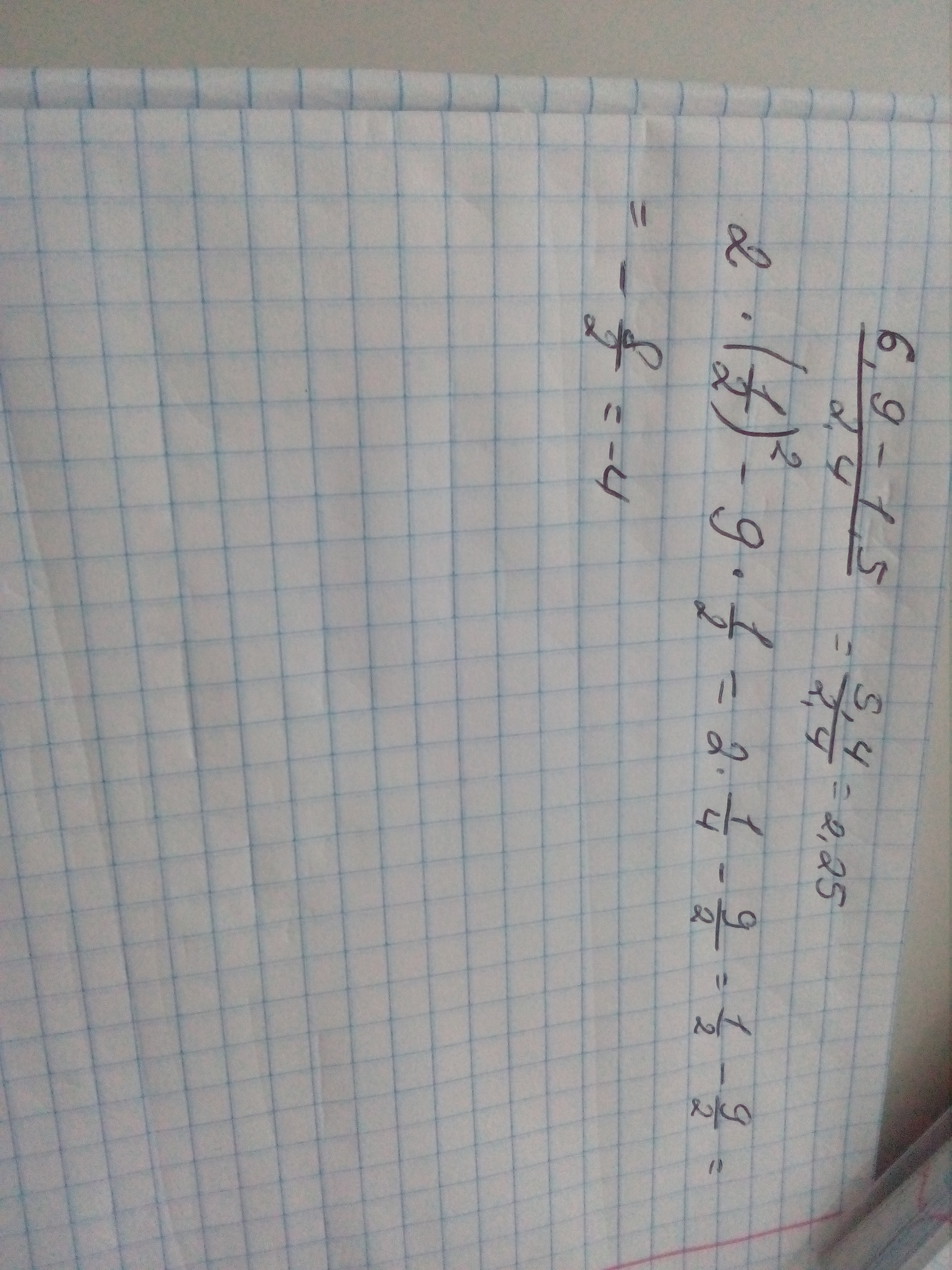
Помогите с алгеброй !!!

Приложения:

Ответы

Ответ дал: anzhela097
0
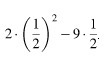
Це перший спосіб, а є ще і другий
Приложения:
Вас заинтересует