Ответы
Ответ дал:
0
решение задания смотри на фотографии
Приложения:

Ответ дал:
0
пожалуйста
Ответ дал:
0
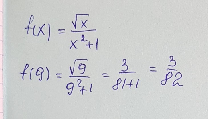
Подставили Х = 9 и получили
f(9) = 3/(81+1) = 3/82 - ОТВЕТ
f(9) = 3/(81+1) = 3/82 - ОТВЕТ
Приложения:

Вас заинтересует
2 года назад
6 лет назад
6 лет назад
9 лет назад
10 лет назад