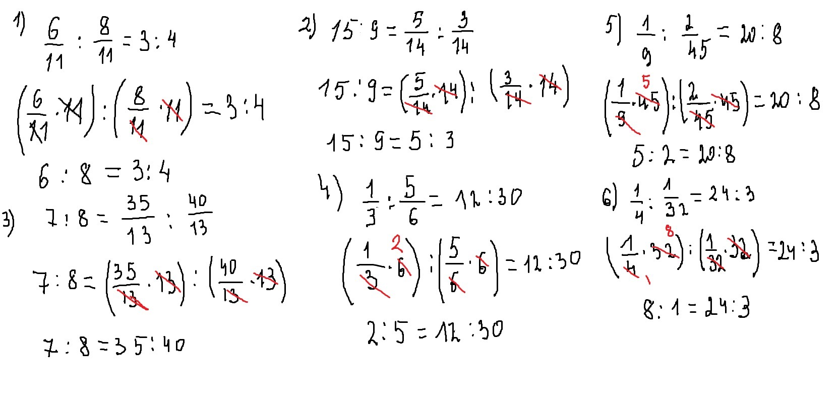
Используя основное свойства частного, представьте все члены пропорции в натуральных числах: 6/11 : 8/11 = 3:4; 15:9 = 5/14 : 3/14; 7:8 = 35/13 : 40/13; 1/3 : 5/6 = 12:30; 1/9 : 2/45 = 20:8; 1/4 : 1/32 = 24:3; СРОЧНО ДАЮ МНОГО БАЛОВ ЗА ПРАВИЛЬНЫЙ ОТВЕТ!!!
Ответы
Ответ дал:
0
вчера кому то решала,сохранила фото
Приложения:

Ответ дал:
0
спасибо
Вас заинтересует
2 года назад
6 лет назад
9 лет назад
9 лет назад
10 лет назад