• Предмет: Алгебра
  • Автор: nicesmall
  • Вопрос задан 9 лет назад

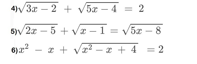
СРОЧНО нужна помощь с Алгеброй 11 класс!!!!

Приложения:

Ответы

Ответ дал: Kronke
0
С 6 примером возникли трудности.
Приложения:
Вас заинтересует