Сравните значения выражений
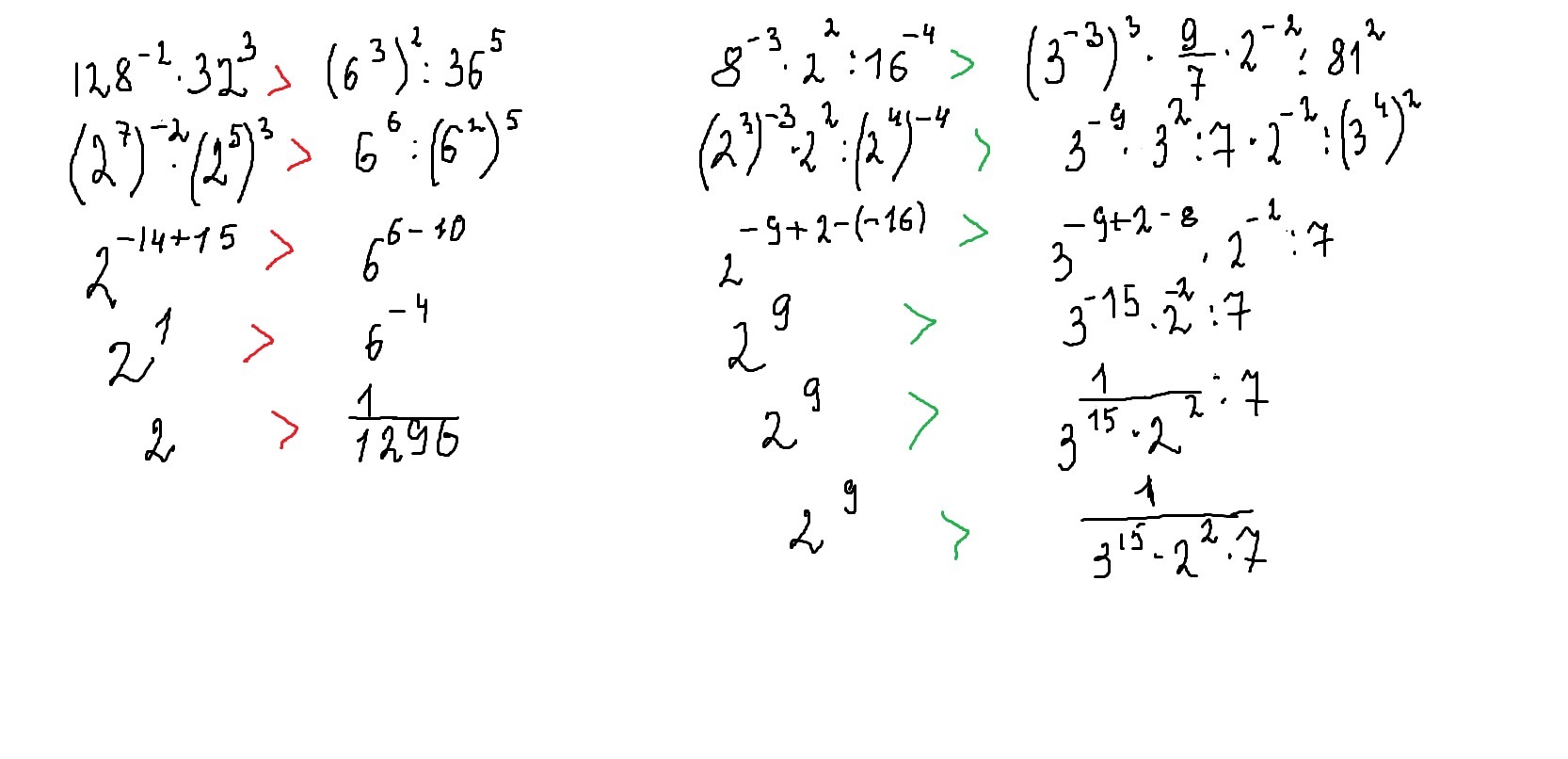
1) 128⁻²* 32³ и (6³)²:36⁵
2)8⁻³*2²/16⁻⁴ и (3⁻³)³*9седьмых*2⁻²/81²
/-это дробная черта
Ответы
Ответ дал:
0
выполняем действия со степенями по столбикам,потом сравниваем в самых нижних строчках и ставим знак.
целое число всегда больше 1 деленной на число
целое число всегда больше 1 деленной на число
Приложения:

Вас заинтересует
2 года назад
6 лет назад
9 лет назад
9 лет назад
10 лет назад