• Предмет: Геометрия
  • Автор: Homer27890mail
  • Вопрос задан 9 лет назад

Решите пожалуйста задачу по геометрии. Можно пожалуйста с рисунком?

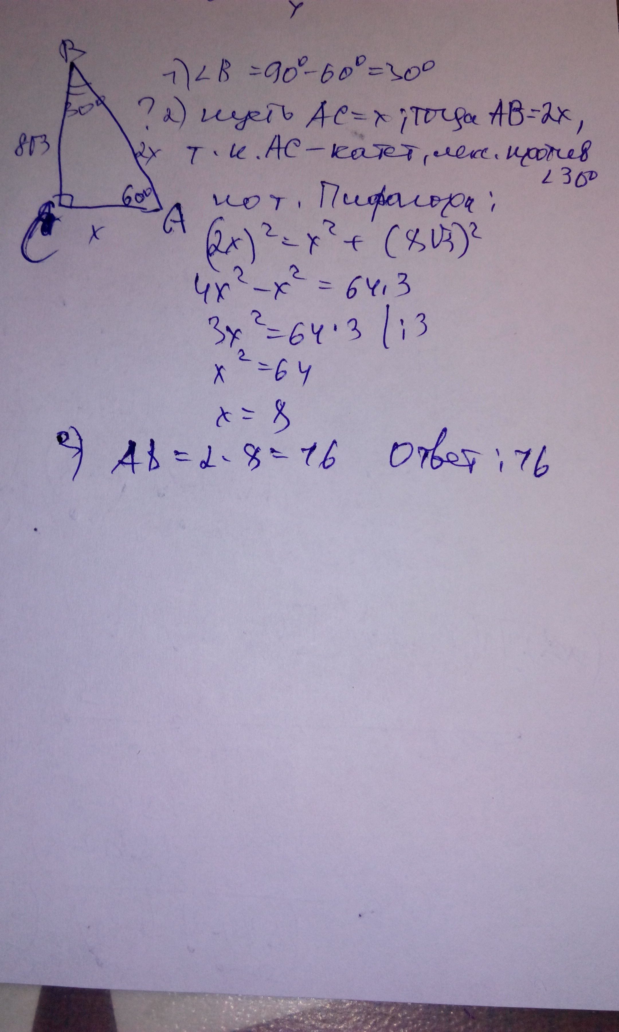
В △ABC угол C = 90°, угол A равен = 60°, ВС = 8√3. Найдите AB.

Ответы

Ответ дал: irinan2014
0
Всё подробно написала в решении.
Приложения:
Вас заинтересует