Ответы
Ответ дал:
0
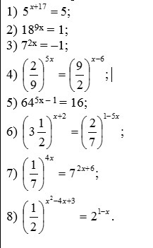
1)5^(x+17)=5
Представляем пятерку как 5^1
5^(x+17)=5^1
приравниваем показатели степени
x+17=1
Решаем как обычное линейное уравнение
x=1-17
x=-16
2)18^9x=1
1 представляем как 18^0
18^9x=18^0
9x=0
x=0
3) 7^2x=-1
7^2x=-7^0
2x=0
x=0
4)(2/9)^5x=(9/2)^(x-6)
переворачиваем правую дробь. а в показатели степени ставим знак минус, получим
(2/9)^5x=(2/9)^(-x+6)
5x=-x+6
6x=6x=1
5)64^(5x-1)=16
Приводим к оснвоанию 4
4^3(5x-1)=4^2
15x-1=2
15x=3
x=5
Представляем пятерку как 5^1
5^(x+17)=5^1
приравниваем показатели степени
x+17=1
Решаем как обычное линейное уравнение
x=1-17
x=-16
2)18^9x=1
1 представляем как 18^0
18^9x=18^0
9x=0
x=0
3) 7^2x=-1
7^2x=-7^0
2x=0
x=0
4)(2/9)^5x=(9/2)^(x-6)
переворачиваем правую дробь. а в показатели степени ставим знак минус, получим
(2/9)^5x=(2/9)^(-x+6)
5x=-x+6
6x=6x=1
5)64^(5x-1)=16
Приводим к оснвоанию 4
4^3(5x-1)=4^2
15x-1=2
15x=3
x=5
Ответ дал:
0
6) левую дробь переводим в неправильную, получим (7/2)^(x+2)=(7/2)^(-1+5x); x+2=-1+5x; -4x=-3; x=3/4
Ответ дал:
0
7) левую дробь переворачиваем и меняем знак в степени, получаем 7^-4x=7^(2x+6); -4x=2x+6; -6x=6; x=-1
Ответ дал:
0
8) 2^(-x^2+4x-3)=2^(1-x); -x^2+4x-3=1-x; -x^2+5x-4; x^2-5x+4; Решаем через дискриминант, Д=25-4*4=25-16=9; x(первый)=(-5+3)/2=-1; x(второй)=(-5-3)/2=-4
Ответ дал:
0
^ значок степени
Вас заинтересует
2 года назад
2 года назад
7 лет назад
7 лет назад
9 лет назад
9 лет назад
10 лет назад