• Предмет: Алгебра
  • Автор: chumakvichka
  • Вопрос задан 9 лет назад

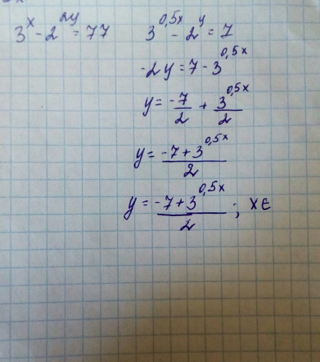
решить систему уравнений 3^x - 2^2y = 77 и 3^0.5x - 2^y = 7

Ответы

Ответ дал: katrina201
0
второй решила ,а первый у меня не получается.
Приложения:
Ответ дал: chumakvichka
0
спасибо
Ответ дал: katrina201
0
не за что,обращайся
Вас заинтересует