• Предмет: Математика
  • Автор: Baby2001
  • Вопрос задан 9 лет назад

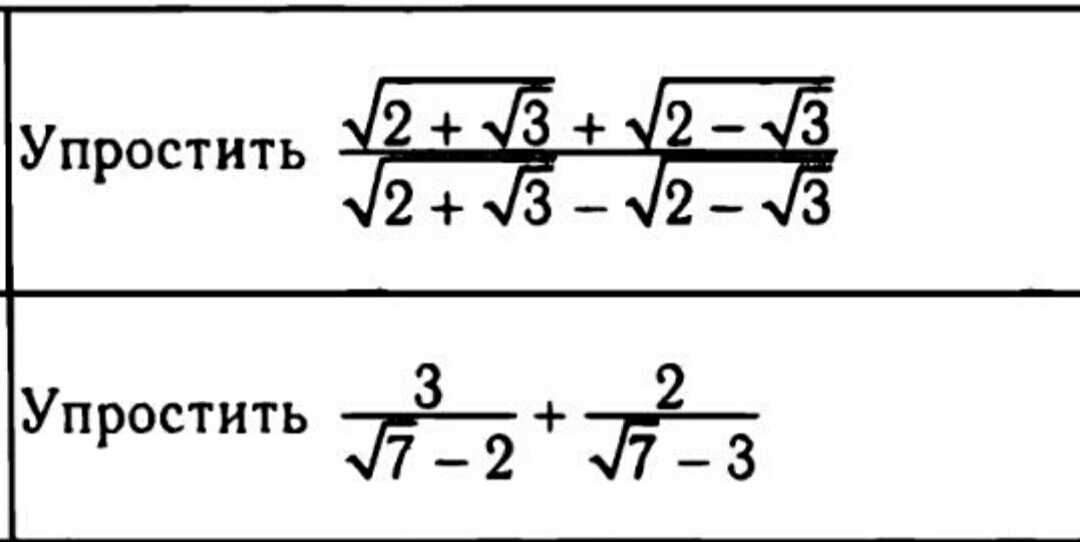
Помогите филологу!!! Прошу*

Приложения:

Ответа на этот вопрос пока нет. Попробуйте найти его через форму поиска.

Вас заинтересует