• Предмет: Алгебра
  • Автор: zhkxf
  • Вопрос задан 9 лет назад

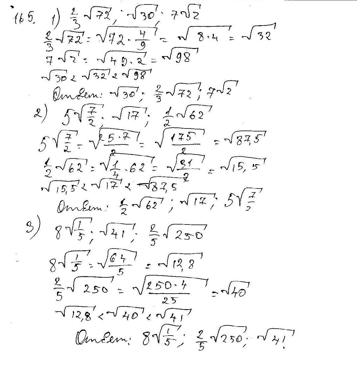
Помогите Расположите числа в порядке возрастания

Приложения:

Ответы

Ответ дал: Dимасuk
0
Решение задания во вложении. 
Приложения:
Ответ дал: zhkxf
0
спасибо
Ответ дал: zhkxf
0
а это правильно?
Вас заинтересует