• Предмет: Алгебра
  • Автор: пампкин
  • Вопрос задан 9 лет назад

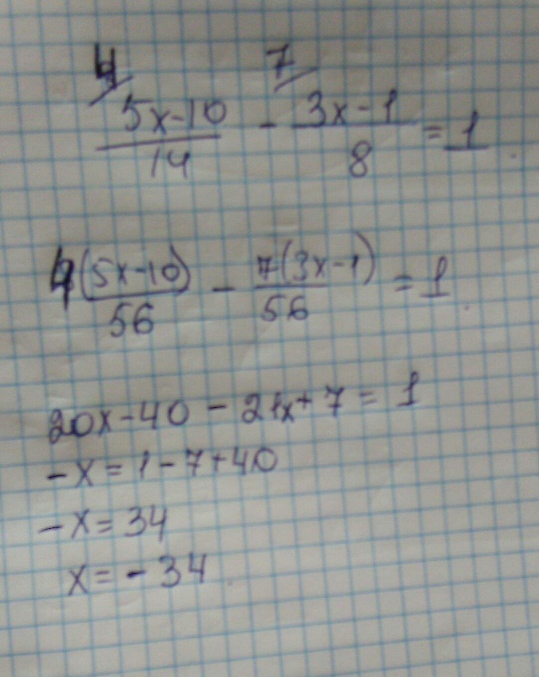
Помогите пожалуйста решить!

Приложения:

Ответы

Ответ дал: saidka2002
0
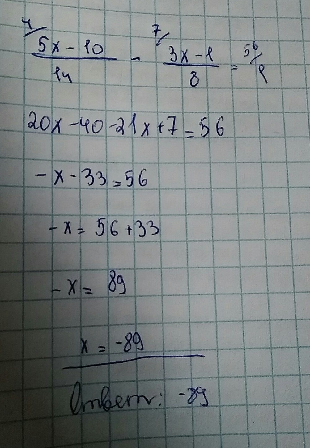
все будет на фотке!!!!!!
Приложения:
Ответ дал: помогиеслисможешь1
0
это правильный ответ, не благодари, удачи в учебе
Приложения:
Вас заинтересует