• Предмет: Алгебра
  • Автор: saveme15z
  • Вопрос задан 9 лет назад

1 вариант, помогитееее

Приложения:

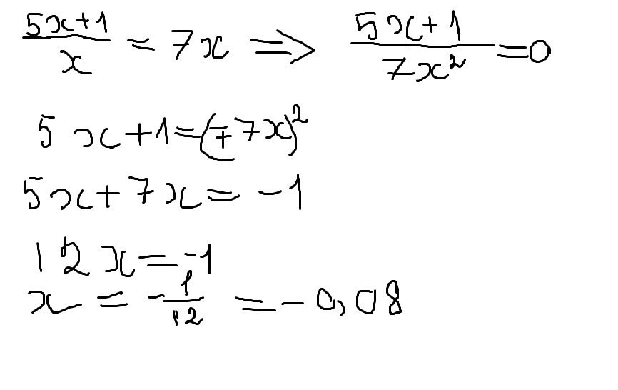
Ответы

Ответ дал: зубрильчик
0
Ответы записал снизу 
Приложения:
Вас заинтересует