• Предмет: Математика
  • Автор: neck2
  • Вопрос задан 9 лет назад

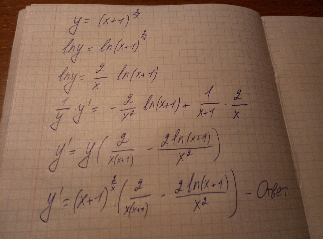
y=(x+1)^2/x продифферинцировать данные функции используя правило логарифмического дифференцировария

Приложения:

Ответы

Ответ дал: Alexandr130398
0
,,,,,,,,,,,,,,,,,,,,,,
Приложения:
Ответ дал: neck2
0
чел, выручил, огромное спасибо!!!
Вас заинтересует