• Предмет: Физика
  • Автор: Lola3108
  • Вопрос задан 9 лет назад

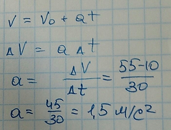
у тела движущегося прямолинейно и равноускоренно за 30 сек скорость изменилась с 10 м/с до 55 м/с найти ускорение тела

Ответы

Ответ дал: Kазак
0
см картинку, надеюсь, всё понятно.
Приложения:
Вас заинтересует