• Предмет: Математика
  • Автор: misslawrischew
  • Вопрос задан 9 лет назад

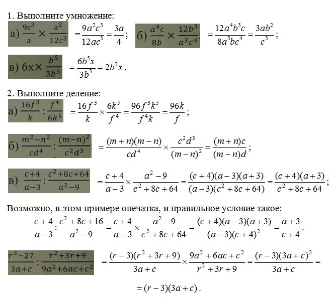
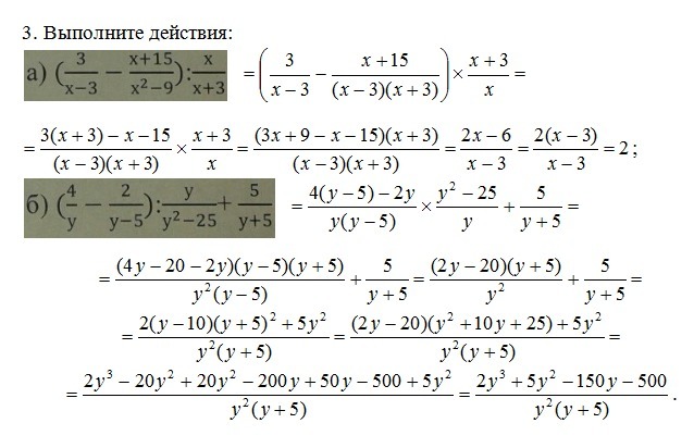
2 вариант помогите пожалуйста

Приложения:

Ответы

Ответ дал: SergFlint
0
Решения в двух приложениях.
Приложения:
Вас заинтересует