Ответы
Ответ дал:
0
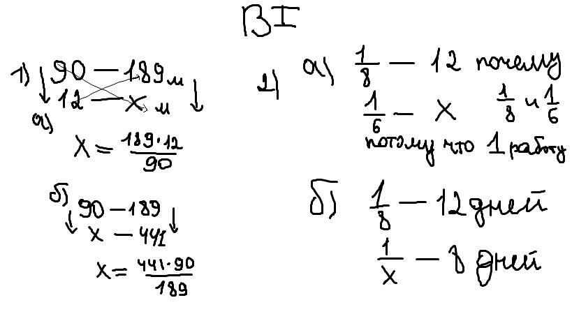
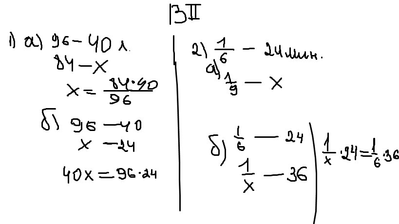
Эти задачи решаются спомошью пропорций. Надо запомнить проста (под рубашкой - рубашка под Тканью -ткань) и крест на крест умножая находим ИКС
Приложения:


Ответ дал:
0
3 ие задания из обеих вариантов подзабыл поэтому решил не рисковать (вдруг неправильно решу)
Ответ дал:
0
Подзабыл как решать МАШТАБЫ
Ответ дал:
0
а 4 ое легко же а/в=2/3 а=2в/3 в=3а/2 следовательно легко решить
Ответ дал:
0
Ответ 4ого задания : 3а/в=2 и а/2в=1/3
Вас заинтересует
2 года назад
2 года назад
6 лет назад
6 лет назад
9 лет назад
9 лет назад
10 лет назад