Ответы
Ответ дал:
0
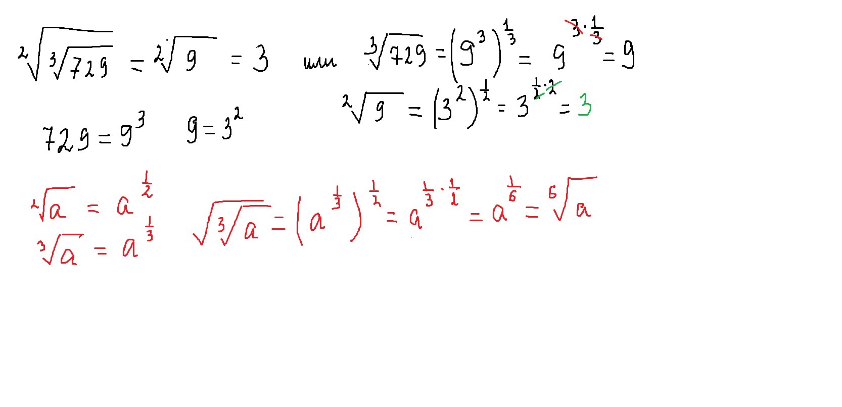
√∛729= (729 в степени13)в степени 12= при возведении степени в степень показатели перемножаются,получаем = 729 в степени 16,или корень 6 степени из 729 и это равно 3.Потому что 3 в 6 степени равно 729
Приложения:

Ответ дал:
0
Я просто не понимаю переход от √√3^2 до просто √3^2. Почему один корень уходит
Ответ дал:
0
А, всё. Я поняла.
Ответ дал:
0
Корень в первой степени с "каким-то" числом будет равен "какому-то" числу.
Ответ дал:
0
√∛729=√9=3
!!!!!!!!!!!!!!!!!!!!
!!!!!!!!!!!!!!!!!!!!
Приложения:

Ответ дал:
0
упс .... а где словесное описание процесса ?
Вас заинтересует
2 года назад
2 года назад
6 лет назад
6 лет назад
9 лет назад
10 лет назад