• Предмет: Математика
  • Автор: PilkaPie
  • Вопрос задан 9 лет назад

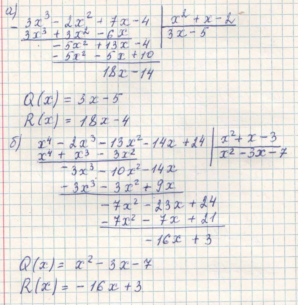
Разделите уголком многочлен А(х) на многочлен В(х) укажите неполное частное Q(x) и остаток R(x) , если : a) A(x)=3x^3-2x^2+7x-4 B(x)=x^2+x-2
b) A(x) =x^4-2x^3-13x^2-14x+24 B(x)=x^2+x-3

Ответы

Ответ дал: ldglkva
0

Ответ:

Решение во вложении.

Пошаговое объяснение:

Приложения:
Вас заинтересует