• Предмет: Алгебра
  • Автор: Изоабэлла
  • Вопрос задан 9 лет назад

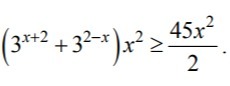
Решить показательное неравенство(см.картинку)

Приложения:

Ответы

Ответ дал: amin07am
0
Ответ &^&^&^&^&^&^&^&^&^
Приложения:
Вас заинтересует