Ответы
Ответ дал:
0
1. (3x² - 1/x³) ' = (3x²) ' - (1/x³) ' = 6x - (x⁻³)' = 6x + 3x⁻⁴ = 6x + 3/x⁴
2. ((x/3 + 7)⁶) ' = 6(x/3 + 7)⁵ · (x/3 + 7)' = 6(x/3 + 7)⁵ · 1/3 = 2(x/3 +7)⁵
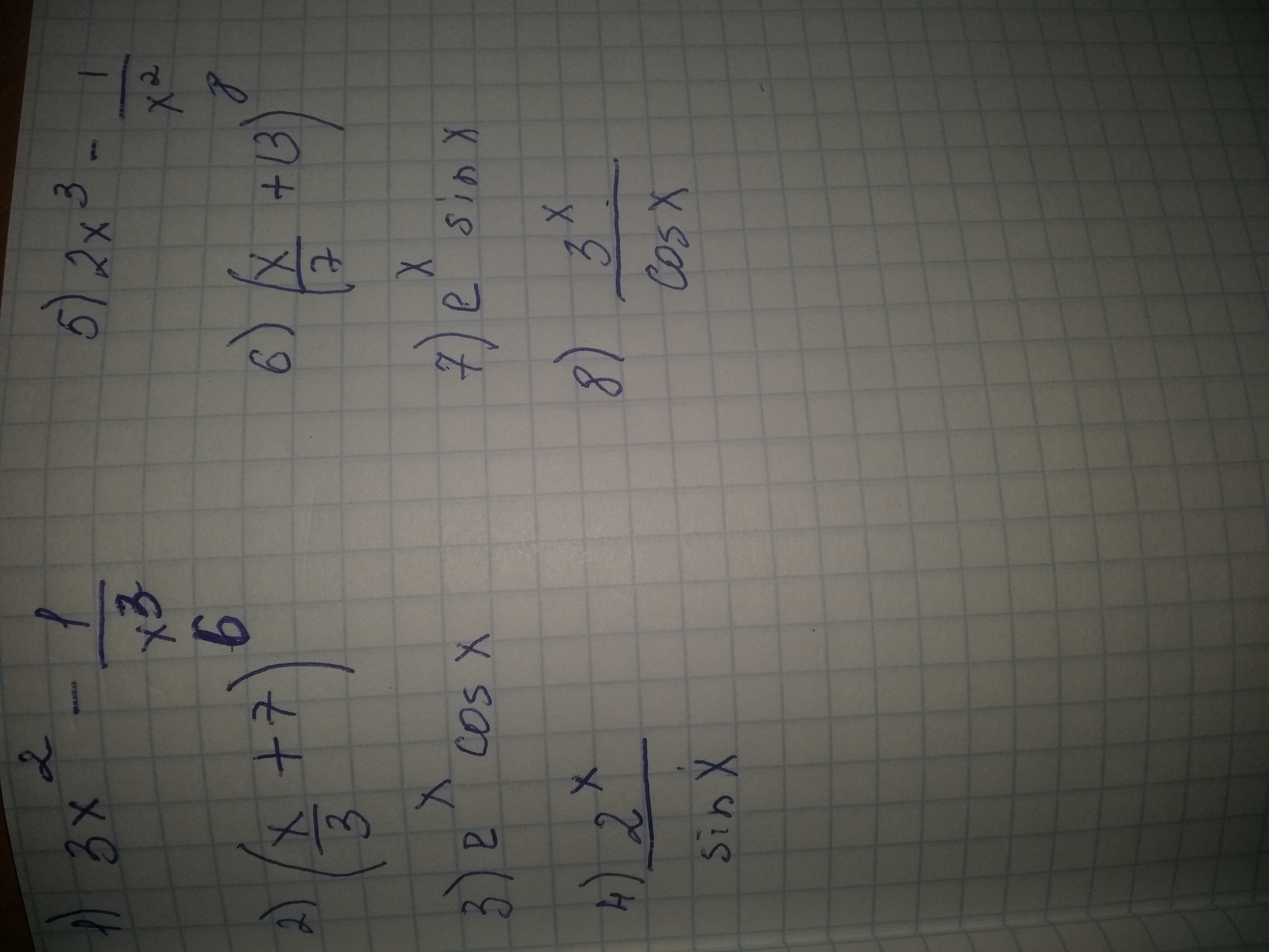
3. (eˣ·cosx) ' = (eˣ)' · cosx + eˣ · (cosx)' = eˣ · cosx + eˣ · (- sinx) = eˣ(cosx - sinx)
4. (2ˣ / sinx) ' =
5. (2x³ - 1/x²)' = (2x³) ' - (x⁻²)' = 6x² + 2x⁻³ = 6x² + 2/x³
6. ((x/7 + 13)⁸) ' = 8(x/7 + 13)⁷ · (x/7 + 13)' = 8(x/7 + 13)⁷ · 1/7 = 8/7 (x/7 + 13)⁷
7. (eˣsinx) ' = (eˣ) ' sinx + eˣ (sinx) ' = eˣ sinx + eˣ cosx
8. (3ˣ / cosx) ' =
2. ((x/3 + 7)⁶) ' = 6(x/3 + 7)⁵ · (x/3 + 7)' = 6(x/3 + 7)⁵ · 1/3 = 2(x/3 +7)⁵
3. (eˣ·cosx) ' = (eˣ)' · cosx + eˣ · (cosx)' = eˣ · cosx + eˣ · (- sinx) = eˣ(cosx - sinx)
4. (2ˣ / sinx) ' =
5. (2x³ - 1/x²)' = (2x³) ' - (x⁻²)' = 6x² + 2x⁻³ = 6x² + 2/x³
6. ((x/7 + 13)⁸) ' = 8(x/7 + 13)⁷ · (x/7 + 13)' = 8(x/7 + 13)⁷ · 1/7 = 8/7 (x/7 + 13)⁷
7. (eˣsinx) ' = (eˣ) ' sinx + eˣ (sinx) ' = eˣ sinx + eˣ cosx
8. (3ˣ / cosx) ' =
Вас заинтересует
2 года назад
2 года назад
7 лет назад
7 лет назад
9 лет назад
9 лет назад
10 лет назад
10 лет назад