• Предмет: Алгебра
  • Автор: Морковка14
  • Вопрос задан 9 лет назад

Решите, пожалуйста, срочно!!!

Приложения:

Ответы

Ответ дал: SergFlint
0
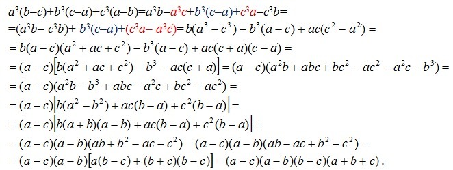
Решение в приложении.
Приложения:
Ответ дал: Морковка14
0
Что значат квадратные скобки?
Ответ дал: SergFlint
0
Можно и круглые вместо квадратных поставить. Это просто подстраховка от несовпадения числа левых и правых скобок в выражении. Часто случается, что откроешь выражение левой скобкой, а потом забываешь закрыть его правой скобкой. Так мы делали в школе более 50 лет назад.
Ответ дал: SergFlint
0
Можно, конечно, сразу ставить правую и левую скобку, а потом писать все, что нужно, внутри них. В общем, сейчас уже никакой необходимости в квадратных скобках нет.
Вас заинтересует