Ответы
Ответ дал:
0
Вот твой ответ, друг
Приложения:
Ответ дал:
0
Я незнаю алгебру
Ответ дал:
0
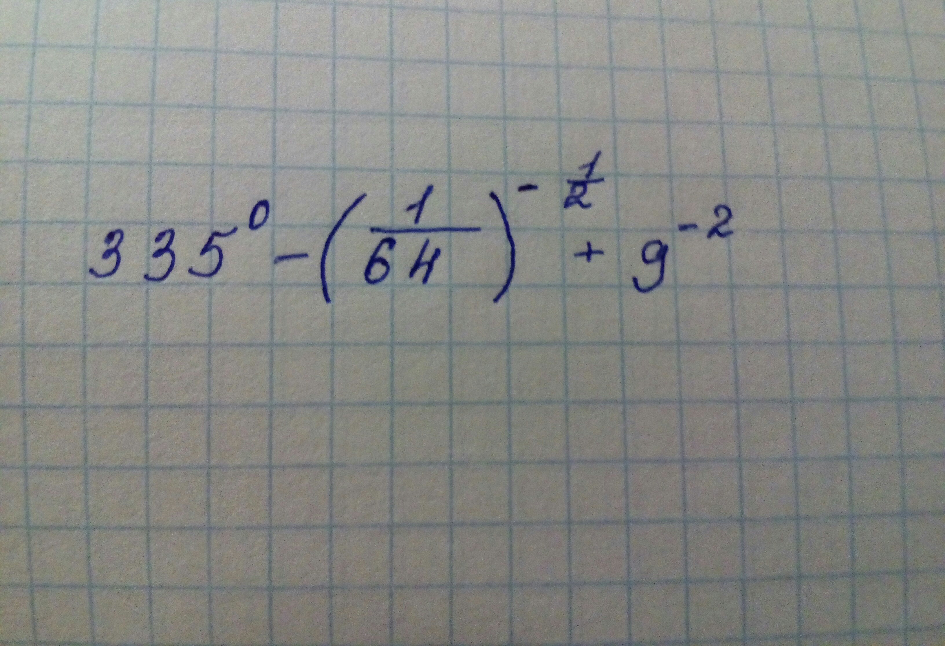
335^0 - (1/64)^(-1/2) + 9^(-2) =
= 1 - 64^(1/2) + 1/(9)^2 =
= 1 - (2^6)^(1/2) + 1/81 =
= 1 * 2^3 + 1/81 =
= 1 - 8 + 1/81 =
= -7 + 1/81
Сводим к общему знамееателю и вычитаем, для этого сверху над (-7/1) надписываем 81 и умножаем это число на числитель и знаменатель.
-7 + 1/81 = -567+1/81 = -566/81 = 6 целых 80/81
= 1 - 64^(1/2) + 1/(9)^2 =
= 1 - (2^6)^(1/2) + 1/81 =
= 1 * 2^3 + 1/81 =
= 1 - 8 + 1/81 =
= -7 + 1/81
Сводим к общему знамееателю и вычитаем, для этого сверху над (-7/1) надписываем 81 и умножаем это число на числитель и знаменатель.
-7 + 1/81 = -567+1/81 = -566/81 = 6 целых 80/81
Приложения:
Вас заинтересует
2 года назад
2 года назад
7 лет назад
7 лет назад
9 лет назад
9 лет назад
10 лет назад
10 лет назад