Ответы
Ответ дал:
0
вот
во 2 ответ 571
надеюсь помогла
во 2 ответ 571
надеюсь помогла
Приложения:

Ответ дал:
0
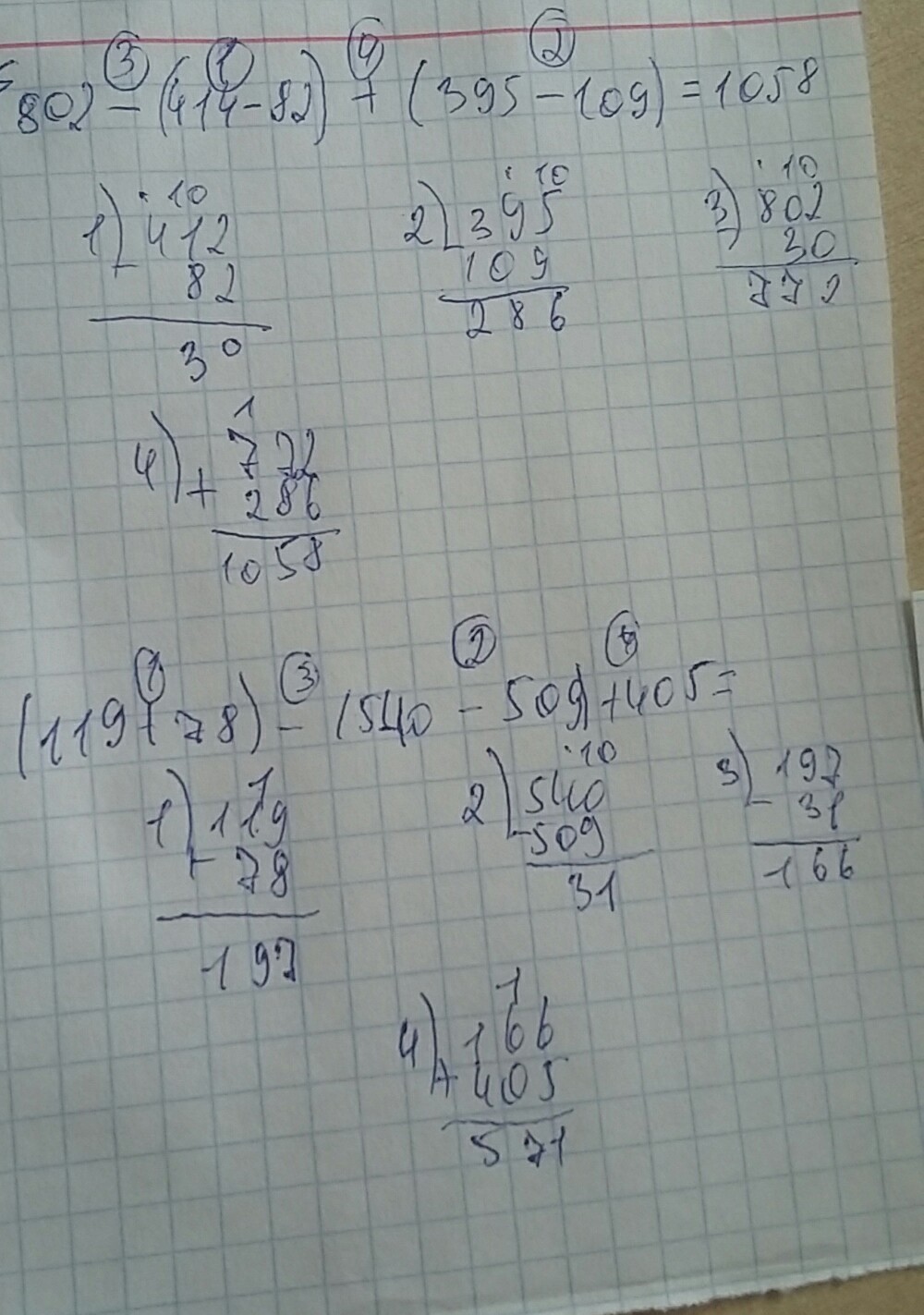
Первое
1) 414 - 82 = 332
2) 395 - 109 = 286
3) 802 - 332 = 470
4) 470 + 286 = 756
Второе
1) 119+78 = 197
2) 540 - 509 = 31
3) 197 - 31 = 166
4) 166 + 405 = 571
1) 414 - 82 = 332
2) 395 - 109 = 286
3) 802 - 332 = 470
4) 470 + 286 = 756
Второе
1) 119+78 = 197
2) 540 - 509 = 31
3) 197 - 31 = 166
4) 166 + 405 = 571
Приложения:

Вас заинтересует
2 года назад
2 года назад
6 лет назад
6 лет назад
9 лет назад
9 лет назад