Ответы
Ответ дал:
0
у = 4 - х
х² - 16 + 4х = 5
х² + 4х -21 = 0
Д = 16 + 84 = 100
х1,2 = 3; -7
У1,2 = 1; 11
х² - 16 + 4х = 5
х² + 4х -21 = 0
Д = 16 + 84 = 100
х1,2 = 3; -7
У1,2 = 1; 11
Ответ дал:
0
Я думаю, что так
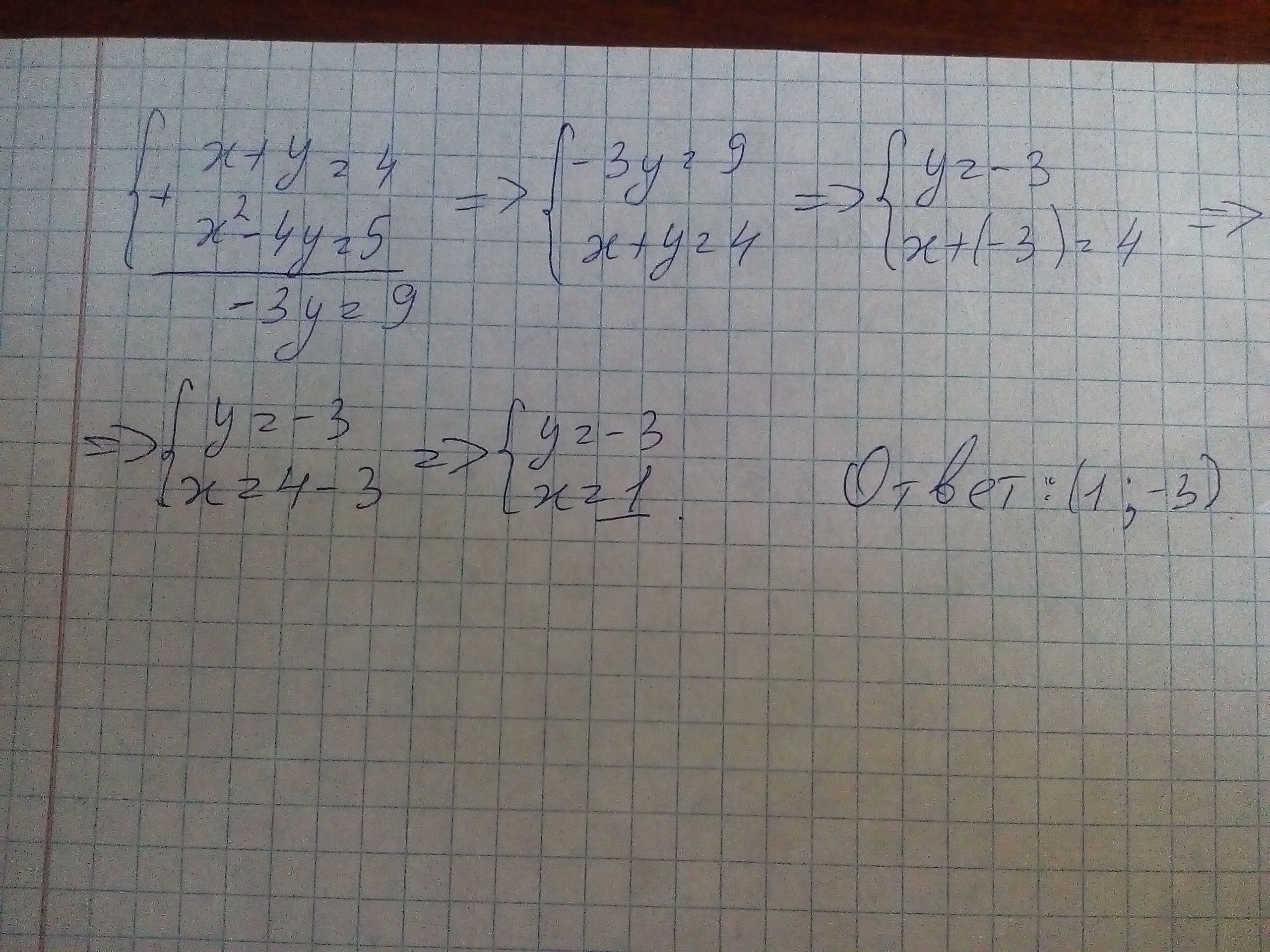
(x+y=4. =>( -3y=9. =>(y=-3. =>
(x^²-4y=5. (x+y=4. (x+(-3)=4
-3y=9
=>(y=-3. =>(y=-3
(x=4-3. (x=1
Ответ:(1;-3)
(x+y=4. =>( -3y=9. =>(y=-3. =>
(x^²-4y=5. (x+y=4. (x+(-3)=4
-3y=9
=>(y=-3. =>(y=-3
(x=4-3. (x=1
Ответ:(1;-3)
Приложения:

Вас заинтересует
2 года назад
2 года назад
6 лет назад
9 лет назад
9 лет назад
10 лет назад