Ответы
Ответ дал:
0
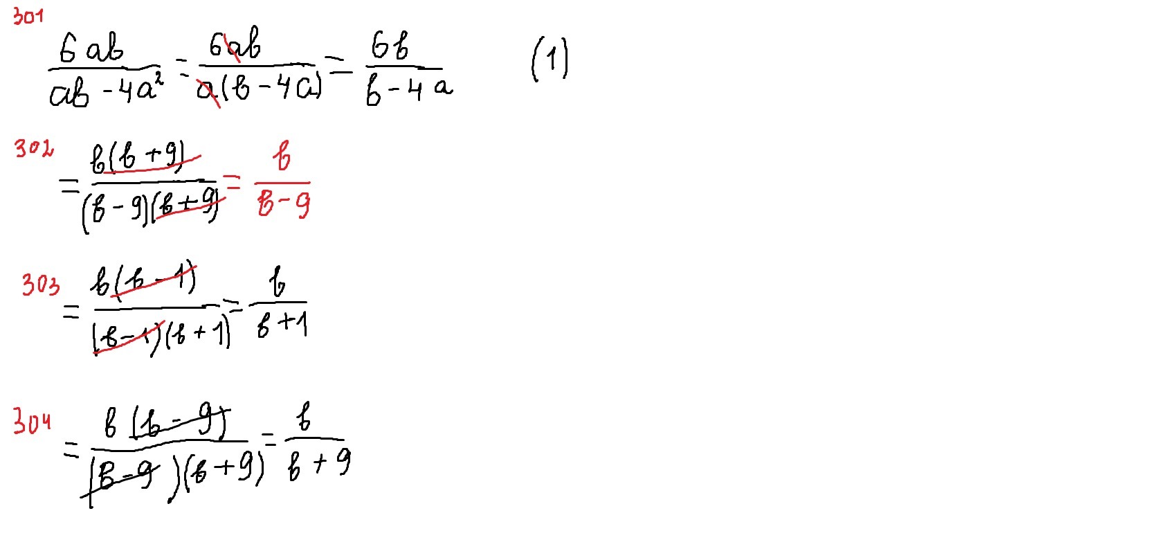
применяем формулы (а-в)(а+в)=а²-в² и (а+в)²=а²+2ав+в² (а-в)²=а²-2ав+в²
Приложения:


Ответ дал:
0
Спасибо большое
Ответ дал:
0
а почему отметила как нарушение?что я сделала не так? мое решение было уже в 5 часов,через пол часа после добавления задачи.
Ответ дал:
0
Спасибо!
Ответ дал:
0
Я?
Ответ дал:
0
20:35 МаликаПомогите отметил нарушение в решении Пользователя parus7 вот,что написано внизу страницы
Вас заинтересует
2 года назад
6 лет назад
9 лет назад
9 лет назад
10 лет назад