• Предмет: Алгебра
  • Автор: макатернар1
  • Вопрос задан 9 лет назад

номер 1,101 пжжжжж эээээйй люди завтра в школу

Приложения:

Ответы

Ответ дал: Ann2703
0
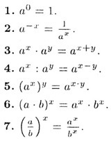
очень плохо видно. вот тебе подсказка.
Приложения:
Вас заинтересует