• Предмет: Математика
  • Автор: Аноним
  • Вопрос задан 9 лет назад

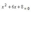
Какое будет количество нулей в данной функции?

Приложения:

Ответы

Ответ дал: denisbuster2
0
x2-x+8=0
D=b2-4ac
d=4
x1=(6+2):2=4
x2=(6-2):2=2
Ответ: x1=4, x2=2
Ответ дал: denisbuster2
0
хорошо
Ответ дал: denisbuster2
0
x2-6x+8=0
Ответ дал: Аноним
0
Спасибо Вам большое что помогли с заданием. Если вас не затруднит не могли бы вы пожалуйста помочь с этими заданиями https://znanija.com/task/25431943 https://znanija.com/task/25431686 https://znanija.com/task/25431312 https://znanija.com/task/25430634 https://znanija.com/task/25429240
Ответ дал: denisbuster2
0
хорошо, секунду
Ответ дал: Аноним
0
Помогите с этими пожалуйста https://znanija.com/task/25453579 https://znanija.com/task/25453504
Вас заинтересует