• Предмет: Математика
  • Автор: Вован73
  • Вопрос задан 9 лет назад

Сократите дробь, вычислите, упростите выражение.

Приложения:

Ответы

Ответ дал: akomovowvnbx
0
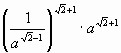
 frac{a( sqrt{a} -1)}{( sqrt{a}-1) ^{2}  } =  frac{a}{ sqrt{a}-1}

 ( sqrt[3]{ sqrt{2^{3} } })^{2} = ( sqrt[3]{2^{3/2}})^{2} = ({2^{1/2})^{2} = 2

 ( frac{a}{a^{ sqrt{2}-1} } )^{ sqrt{2}+1} =  ( a^{ 2-sqrt{2}} )^{ sqrt{2}+1} = a^{3}
Ответ дал: Вован73
0
спс) Можно еще пару решений на пару заданий?
Ответ дал: Вован73
0
а тут на все задания решение?
Вас заинтересует