• Предмет: Алгебра
  • Автор: Anzcelikagah
  • Вопрос задан 9 лет назад

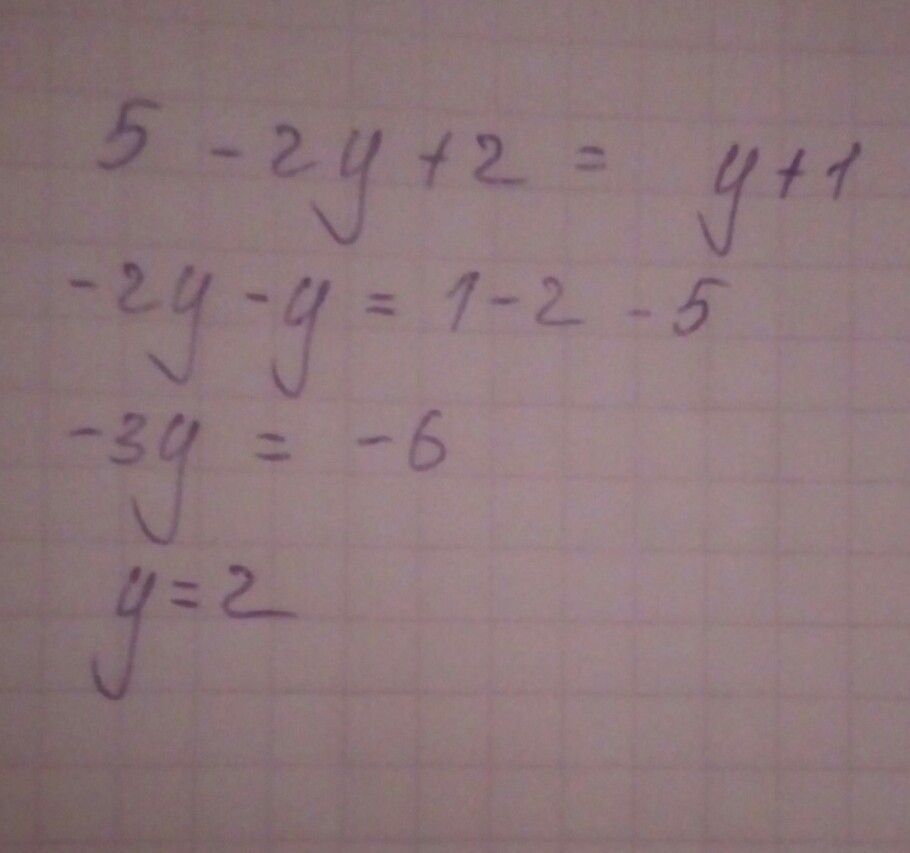
5-2y + 2
------- =
Y+1

Ответы

Ответ дал: Михаил1553
0
На фотке решение, вроде бы так решается
Приложения:
Ответ дал: Anzcelikagah
0
Ето дробом
Вас заинтересует