• Предмет: Математика
  • Автор: лис214
  • Вопрос задан 9 лет назад

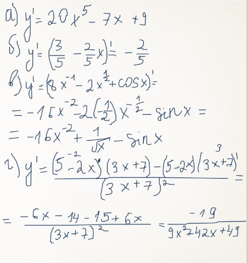
Найти производную функций

Приложения:

Ответы

Ответ дал: Annariel
0
Сорри за почерк, но думаю суть будет понятна
Приложения:
Ответ дал: Annariel
0
д и е тоже решила, на могу сюда прикрепить, есди нужно - пришлю
Вас заинтересует