• Предмет: Алгебра
  • Автор: ооооо79
  • Вопрос задан 9 лет назад

ааааааааааавввввввааавввввв прошуууууууууу

Приложения:

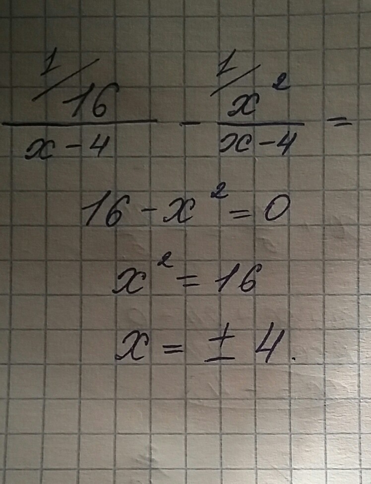
Ответы

Ответ дал: Lilith77
0
.........................
Приложения:
Вас заинтересует